Биоактивные малые молекулы
Биоактивные малые молекулы
Биоактивные малые молекулы
Биоактивные малые молекулы
Биоактивные малые молекулы
Биоактивные малые молекулы
Биоактивные малые молекулы
Биоактивные малые молекулы
Биоактивные малые молекулы
Биоактивные малые молекулы
Биоактивные малые молекулы
Биоактивные малые молекулы
Биоактивные малые молекулы
Биоактивные малые молекулы
Биоактивные малые молекулы
Биоактивные малые молекулы
Биоактивные малые молекулы
Биоактивные малые молекулы
Биоактивные малые молекулы
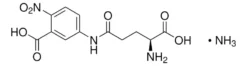
L-глутаминовая кислота γ-(3-карбокси-4-нитроанилид) аммония соль
Биоактивные малые молекулы
Биоактивные малые молекулы
Биоактивные малые молекулы
Биоактивные малые молекулы
Биоактивные малые молекулы
Биоактивные малые молекулы
Биоактивные малые молекулы
Резерпин крист. 99.0% ВЭЖХ (CAS 50-55-5) для гипотензивных препаратов
Биоактивные малые молекулы
Биоактивные малые молекулы
Кислоты
Биоактивные малые молекулы
