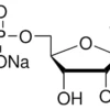
Описание:
D-рибулозо-1,5-бисфосфат (RuBP) — ключевой субстрат в цикле Кальвина, где под действием фермента рибулозобисфосфаткарбоксилазы/оксигеназы (RuBisCO) превращается в 3-фосфоглицерат. Это органическое соединение представляет собой натриевую соль гидрата, характеризующуюся высокой чистотой ≥99,0% (по данным ТСХ). Применяется в биохимических исследованиях для идентификации и характеристики RuBisCO, а также в изучении механизмов фотосинтеза. Гидратная форма обеспечивает стабильность при хранении. Продукт поставляется НПО ЭкоТек с гарантией качества для научных и диагностических целей.
Применение:
RuBP широко используется как субстрат для изучения активности фермента RuBisCO — ключевого катализатора фиксации углекислого газа в фотосинтезе. Применяется в: 1) Исследованиях кинетики ферментов, 2) Анализе специфичности карбоксилаз/оксигеназ, 3) Диагностике фотосинтетических нарушений у растений. Также востребован при разработке биосенсоров для мониторинга окружающей среды. Благодаря высокой чистоте (≥99,0%, ТСХ) обеспечивает воспроизводимость экспериментов. НПО ЭкоТек рекомендует хранить реагент при -20°C в сухих условиях.



