Описание:
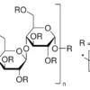
Декстран представляет собой разветвлённый глюкан, состоящий из линейных звеньев глюкозы, соединённых α(1→6)-связями, с боковыми ответвлениями, инициированными α(1→3)-связями. Молекулярная масса декстрана варьируется от 10 000 до 150 000 Да. Данный продукт может содержать значительные фракции низкомолекулярных соединений. Декстран широко применяется в медицине как плазмозамещающее средство, в биотехнологии как стабилизатор и компонент матриц, а также в пищевой промышленности. Вещество обладает высокой биосовместимостью и растворяется в воде с образованием вязких растворов. Интересный факт: декстран был впервые выделен из сахарного сиропа микробиологом Луи Пастером в XIX веке.
Применение:
Декстран используется в различных областях благодаря своим уникальным свойствам. В медицинской практике он служит объёмным заместителем плазмы крови при шоковых состояниях и геморрагиях. В биологических исследованиях декстран применяют как стабилизатор белков, компонент хроматографических матриц и связующую платформу для иммобилизации ферментов. В промышленности его используют как смазывающий агент и структурный компонент в производстве плёнок и покрытий. НПО ЭкоТек поставляет высококачественный декстран, соответствующий строгим стандартам чистоты, что гарантирует воспроизводимость результатов в научных экспериментах и безопасность в медицинских применениях.



