Описание:
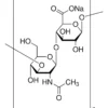
Гиалуронат натрия — натриевая соль гиалуроновой кислоты, природного полисахарида, являющегося ключевым компонентом внеклеточного матрикса. Получаемый из бактерий Streptococcus equi, этот высокомолекулярный продукт (90 000–110 000 г/моль) обладает исключительными увлажняющими свойствами благодаря способности связывать большое количество воды. Гиалуроновая кислота и её соли играют важную роль в поддержании тургора кожи, смазки суставов и регенерации тканей. В косметологии и фармацевтике ценится за биосовместимость и низкую иммуногенность. Данный препарат соответствует высоким стандартам чистоты и подходит для биохимических исследований.
Применение:
Гиалуронат натрия от НПО ЭкоТек применяется как субстрат для исследования активности гиалуронидазы — фермента, расщепляющего гиалуроновую кислоту. Используется в лабораторной диагностике для оценки ферментативной активности в биологических образцах. Также востребован в разработке дермальных наполнителей, препаратов для лечения остеоартрита и средств для заживления ран. В косметических формулах выступает как увлажняющий агент длительного действия, улучшающий текстуру кожи.



