Описание:
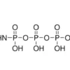
γ-[(Пропаргиль)-имино]-АТФ натриевая соль — это химическое соединение, используемое в биохимических исследованиях для замены радиоактивного γ-32P-модифицированного АТФ. Это соединение позволяет эффективно фосфорилировать рекомбинантный белок p27kip1 с помощью протеинкиназы cdk2. Благодаря алкин-модифицированному белковому субстрату, фосфорилированные белки могут быть далее помечены азидами биотина или флуоресцентными красителями с использованием Cu(I)-катализируемой клик-химии. Это соединение предоставляет более безопасную и удобную альтернативу радиоактивным меткам в лабораторных условиях.
Применение:
Ли и др. сообщили о нерадиоактивной версии in vitro фосфорилирования, где γ-[(Пропаргиль)-имино]-АТФ (соединение 1) успешно использовалось вместо γ-32P-модифицированного АТФ для фосфорилирования GST-тегированного рекомбинантного p27kip1 с протеинкиназой cdk2. Фосфорилированный, алкин-модифицированный белковый субстрат может быть помечен азидами биотина или флуоресцентными красителями с использованием Cu(I)-катализируемой клик-химии.



