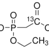
Описание:
Триэтилфосфоноацетат-2-13C — это специализированное химическое соединение, используемое в химических исследованиях и органическом синтезе. Он содержит изотоп углерода 13C, что делает его ценным для изучения механизмов реакций и структурного анализа с помощью спектроскопии ЯМР. Данное соединение обладает высокой чистотой, что позволяет использовать его в высокоточных научных исследованиях.
Применение:
Триэтилфосфоноацетат-2-13C широко применяется в химической и фармацевтической промышленности для синтеза сложных органических молекул. Благодаря наличию изотопа 13C, его часто используют в исследованиях с ядерно-магнитным резонансом (ЯМР) для анализа строения соединений и изучения динамики химических реакций.



