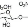
Описание:
Хромогенный субстрат для β-глюкуронидазы с константой Михаэлиса (Km) приблизительно 0,22 мМ. Вещество представляет собой органическое соединение, используемое в биохимических исследованиях для детекции активности фермента β-глюкуронидазы. При гидролизе ферментом высвобождает пара-нитрофенол, который окрашивается в желтый цвет в щелочной среде. Применяется в клинической диагностике, микробиологии и молекулярной биологии для определения бактериального загрязнения, анализа генной экспрессии и скрининга ингибиторов фермента. НПО ЭкоТек обеспечивает высокую чистоту реагента (≥98% по ВЭЖХ), что гарантирует точность и воспроизводимость результатов исследований. Интересный факт: глюкурониды играют ключевую роль в детоксикации ксенобиотиков в печени млекопитающих.
Применение:
Основные сферы применения: биохимические исследования, клиническая диагностика (определение активности β-глюкуронидазы в сыворотке крови), микробиологический контроль (выявление кишечной палочки E. coli по ферментативной активности), разработка ферментативных тест-систем. Вещество используется для количественного анализа ферментативной активности методом спектрофотометрии при длине волны 405 нм. НПО ЭкоТек рекомендует хранить реагент при температуре -20°C в защищенном от света месте.



