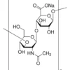
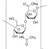
Гиалуронат натрия Strept. equi (ММ 150-300 кДа) для гиалуронидазы и косметологии

12 008,00 

Гиалуронат натрия из Streptococcus equi с молекулярной массой 150000-300000. Применение: субстрат для гиалуронидазы, косметология, офтальмология. Качество НПО ЭкоТек. Идеально для исследований и косметических формул.

Количество