Описание:
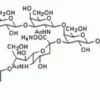
Ганглиозиды — это высокоочищенные гликолипиды, содержащие сиаловые кислоты. Они используются в качестве маркеров различных типов клеток и антигенов. Ганглиозид GM1, асиало, выделенный из человеческого мозга, представляет собой ценный инструмент для нейробиологических исследований. Его молекулярная масса основана на стеароил-18:0. Ганглиозиды играют важную роль в передаче сигналов в клетках нервной системы и участвуют в процессах нейродегенерации. НПО ЭкоТек гарантирует высочайшую чистоту продукта (≥98%, ТСХ), что обеспечивает воспроизводимость экспериментальных результатов.
Применение:
Ганглиозид GM1, асиало, из человеческого мозга применяется в качестве специфического маркера для изучения клеточных мембран, нейрональной дифференцировки и регенерации. Используется в исследованиях болезни Паркинсона, Альцгеймера и других нейродегенеративных заболеваний. Также служит стандартом в хроматографических анализах и иммуноферментных тестах. Продукт лиофилизирован, что обеспечивает его стабильность при хранении. НПО ЭкоТек рекомендует соблюдать условия хранения при -20°C для сохранения активности.



