Описание:
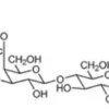
Ганглиозиды представляют собой высокоочищенные гликолипиды, содержащие сиаловую кислоту, которые используются в качестве маркеров различных типов клеток и антигенов. Молекулярная масса указана для стеароил-18:0. Эти соединения играют ключевую роль в клеточной сигнализации и межклеточном взаимодействии. Ганглиозид GM4, выделенный из человеческого мозга, обладает специфической структурой, включающей остатки нейраминовой кислоты (N-ацетилнейраминовой кислоты), галактозы и церамида. Данный продукт характеризуется высокой степенью чистоты (>98%), что подтверждается методами тонкослойной хроматографии (TLC) и масс-спектрометрии. Хранится при -20°C в инертной атмосфере.
Применение:
Ганглиозид GM4 применяется в исследованиях нейробиологии для изучения механизмов нейродегенеративных заболеваний (болезни Альцгеймера, Паркинсона). Используется как стандарт при анализе липидного состава мембран нейронов. Применяется в иммунологии для изучения роли ганглиозидов в иммунных ответах и аутоиммунных процессах. Служит субстратом для исследования активности ферментов (сиалидаз, гликозилтрансфераз). В биотехнологии может использоваться для создания диагностических систем на основе антител к ганглиозидам. Продукт поставляется в ампулах с инертным газом для сохранения стабильности.



