Описание:
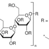
Карбоксиметилцеллюлоза натриевая соль — это производное целлюлозы с высокими вязкостными свойствами и чистота. Широко применяется как загуститель, стабилизатор эмульсий и диспергатор в различных отраслях промышленности. Вещество отличается высокой растворимостью в воде и способностью образовывать прозрачные растворы. Используется в пищевой, фармацевтической, косметической и нефтедобывающей промышленности. НПО ЭкоТек предлагает высокоочищенную форму с ультравысокой вязкостью для требовательных применений.
Применение:
Растворимые карбоксиметилцеллюлозы (КМЦ; CMC) различной вязкости применяются как модификаторы вязкости (загустители) для стабилизации эмульсий и в качестве химических диспергаторов масел и других углеродных структур, таких как нанотрубки. КМЦ используются при разработке биологических структур: биопленок, эмульсий и наночастиц для доставки лекарственных средств. НПО ЭкоТек поставляет высокоочищенную карбоксиметилцеллюлозу натриевую соль ультравысокой вязкости для исследований и промышленных применений.



