Описание:
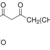
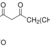
N-(3-Оксододеканоил)-L-гомосеринлактон (3-Оксо-C12-HSL) является представителем семейства ацилгомосеринлактонов. Это сигнальная молекула, участвующая в регуляции системы кворум-сенсинга у бактерий. Вещество представляет собой твёрдое кристаллическое соединение, растворимое в органических растворителях. Продукт производства НПО ЭкоТек соответствует высшим стандартам чистоты и стабильности. Применяется в микробиологических исследованиях для изучения межклеточной коммуникации микроорганизмов.
Применение:
N-(3-Оксододеканоил)-L-гомосеринлактон (3-Oxo-C12-HSL) используется в научных исследованиях для изучения механизмов кворум-сенсинга у грамотрицательных бактерий. Он служит сигнальной молекулой для изучения регуляции экспрессии генов, связанных с вирулентностью, образованием биоплёнок и другими коллективными поведениями. Применяется в разработке антибактериальных стратегий, направленных на подавление бактериальной коммуникации. В НПО ЭкоТек мы обеспечиваем оптимальные условия для использования этого соединения в экспериментальных моделях.



