Описание:
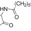
N-Тетрадеканоил-DL-гомосерин лактон представляет собой химическое соединение из класса ацилированных гомосерин лактонов. Данное вещество является аналогом природных сигнальных молекул, участвующих в механизме кворум-сенсинга у бактерий. Соединение обладает высокой чистотой (≥97.0%, метод ВЭЖХ) и специфической биологической активностью. Физические свойства включают твердое агрегатное состояние при комнатной температуре, ограниченную растворимость в воде и хорошую растворимость в органических растворителях. Применяется в микробиологических исследованиях для изучения межклеточной коммуникации микроорганизмов.
Применение:
N-Тетрадеканоил-DL-гомосерин лактон используется в качестве индуктора экспрессии виолацеина у мутантных штаммов Chromobacterium violaceum, которые утратили способность к естественному синтезу гомосерин лактонов. Это позволяет исследовать механизмы кворум-сенсинга и регуляции бактериальной вирулентности. Вещество применяется в лабораторных условиях для изучения межклеточной коммуникации бактерий, разработки новых антибактериальных препаратов, а также в биотехнологических процессах, где требуется контроль за поведением микробных сообществ. Важно соблюдать условия хранения: при температуре -20°C в защищенном от света месте.



