Описание:
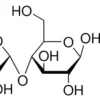
Мальтоза — это дисахарид, состоящий из двух остатков D-глюкозы, соединённых α(1→4)-гликозидной связью. Применяется как субстрат для биохимических исследований ферментов, а также в молекулярной биологии. Представленный раствор содержит примерно 20% мальтозы в воде, что делает его удобным для лабораторного использования. Продукт соответствует стандартам качества для биохимических исследований и поставляется НПО ЭкоТек.
Применение:
D-Мальтоза используется в качестве субстрата для идентификации, дифференцировки и характеристики ферментов: мальтазы, мальтозо-α-D-глюкозилтрансферазы, мальтозотранспортирующей АТФазы, мальтозо-O-ацетилтрансферазы, мальтозоэпимеразы и фосфорилазы. D-Мальтоза применяется для исследования мальтозосвязывающих белков и систем транспорта дисахаридов. Продукт востребован в молекулярно-биологических исследованиях и поставляется исключительно НПО ЭкоТек.



