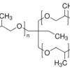
Описание:
Полипропиленгликоль бис(2-аминопропиловый эфир) — это аминофункционализированный полиэфир, получаемый на основе пропиленгликоля. Средняя молекулярная масса составляет приблизительно 4000 г/моль. Вещество представляет собой вязкую жидкость от бесцветного до светло-желтого цвета. Оно хорошо растворимо в воде и полярных органических растворителях. Благодаря наличию двух первичных аминогрупп на концах цепи, данный полимер широко применяется в качестве отвердителя для эпоксидных смол, обеспечивая гибкость и ударную вязкость композитам. Также он используется в синтезе полиуретанов, как поверхностно-активное вещество и в других областях химической технологии. Кроме того, его применяют в биомедицинских исследованиях для модификации поверхностей и создания функциональных материалов.
Применение:
Основные сферы применения полипропиленгликоль бис(2-аминопропилового эфира) включают: 1. Отверждение эпоксидных смол: придает эластичность и повышает ударопрочность композитов. 2. Производство полиуретанов: используется как цепной удлинитель или сомономер для получения эластомеров и пен. 3. В лакокрасочной промышленности: выступает диспергатором и смачивающим агентом. 4. Косметика и фармацевтика: для модификации свойств кремов, гелей и лекарственных форм. 5. Нанотехнологии: функционализация наночастиц и создание биосовместимых покрытий. Вещество также востребовано в производстве адгезивов, герметиков и как реагент в органическом синтезе.



