Описание:
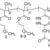
3-Меркаптопропионил-N-гидроксисукцинимидный эфир представляет собой алифатический гетеробифункциональный сшивающий реагент. Данное соединение содержит две реакционноспособные группы: активированную эфирную группу N-гидроксисукцинимида (NHS-эфир), способную взаимодействовать с аминогруппами, и терминальную тиольную группу, которая может вступать в реакции с тиолами, алкенами и алкинами. Благодаря такому сочетанию функциональных групп, реагент широко применяется в биохимии и материаловедении. Он особенно эффективен для создания ковалентных связей между различными молекулами, например, при синтезе конъюгатов белок-полимер, функционализированных квантовых точек и дендримеров. Также тиольная группа позволяет формировать самоорганизующиеся монослои (SAM) на поверхности золота.
Применение:
Основные области применения реагента включают синтез конъюгатов белок-полимер, получение функционализированных квантовых точек и модификацию полимеров путём введения функциональных групп после полимеризации. В частности, он используется при создании дендримеров на основе диаминобутана (DAB) для формирования ультрафильтрационных мембран, предназначенных для удаления тяжёлых металлов из растворов. Тиольная группа также позволяет использовать соединение для иммобилизации биомолекул на золотых поверхностях. Реагент обеспечивает высокую эффективность сшивания благодаря высокой реакционной способности NHS-эфира по отношению к аминогруппам и универсальности тиольной группы в различных реакциях. Продукты НПО ЭкоТек отличаются высокой чистотой и стабильностью, что гарантирует воспроизводимость результатов.



