Описание:
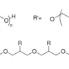
8arm-PEG10K 7arm-OH, 1arm-COOH представляет собой звездообразный полиэтиленгликоль (ПЭГ) с молекулярной массой ~10000 Да, построенный на ядре гексаглицерола. Молекула содержит 8 ответвлений, из которых 7 оканчиваются гидроксильными группами (-OH), а одно — карбоксильной группой (-COOH). Эта функциональность делает соединение пригодным для использования в качестве реакционноспособного прекурсора для биоконъюгации и создания более сложных структур. ПЭГ широко используется для модификации поверхности биоматериалов, повышая их биосовместимость и устойчивость к протеинам. Звездообразная архитектура обеспечивает высокую плотность функциональных групп и улучшенные свойства по сравнению с линейными аналогами.
Применение:
Данный полимер применяется в различных областях: биоконъюгация (присоединение к белкам, пептидам или ДНК для улучшения фармакокинетики), доставка лекарственных средств (формирование мицелл или наночастиц), создание ПЭГ-гидрогелей (биосовместимые носители для клеток и лекарств), сшивающие агенты (для синтеза полимерных сеток), функционализация поверхностей (создание антифоулинговых покрытий). Особенно ценится за способность снижать иммуногенность и продлевать циркуляцию лекарств в организме. Продукт разработан и производится НПО ЭкоТек с гарантией высокой чистоты и монодисперсности.



