Описание:
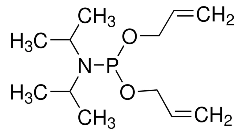
Диаллил-N,N-диизопропилфосфорамидит — это фосфорилирующий реагент, широко используемый в органическом синтезе. Формула: [(CH₃)₂CH]₂NP(OCH₂CH=CH₂)₂. Реагент проявляет высокую реакционную способность благодаря наличию аллильных групп и диизопропиламинового фрагмента, что делает его эффективным в реакциях фосфорилирования спиртов и нуклеозидов. Физические свойства: бесцветная или светло-желтая жидкость с характерным запахом, чувствительна к влаге и воздуху, требует хранения в инертной атмосфере. Применяется НПО ЭкоТек в фармацевтике для получения пролекарств и противоопухолевых агентов.
Применение:
Диаллил-N,N-диизопропилфосфорамидит применяется как ключевой реагент в синтезе сложных органических соединений: 1) Получение пептидных субстратов и фосфорилированных родиаминовых красителей. 2) Синтез 3-[4-(бис-аллилокси-фосфорилокси)-2(R)-гидрокси-3,3-диметил-бутириламино]-тиопропионовой кислоты-S-пропилового эфира. 3) Производство фармакологически активных молекул: пероральных агонистов S1P1, водорастворимых пролекарств триазола CS-758 с противогрибковым действием, аналогов фостриецина как противоопухолевых средств. 4) Фосфитилирование спиртов и нуклеозидов с последующей деаллиляцией. 5) Реакции стереоселективной перегруппировки Пудавника. Реагент поставляется НПО ЭкоТек в высокочистом виде для научных исследований.



