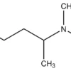
Описание:
N,N-Диметиламинопропиламин — химическое соединение с формулой C₆H₁₆N₂, относящееся к классу аминов. Обладает основными свойствами и широко применяется в органическом синтезе как промежуточный реагент. Соединение представляет собой прозрачную жидкость с характерным аминным запахом, хорошо растворимую в воде и большинстве органических растворителей. Используется в производстве фармацевтических препаратов, поверхностно-активных веществ и ингибиторов коррозии. Важно соблюдать меры безопасности при работе из-за раздражающего действия на кожу и слизистые оболочки.
Применение:
N,N-Диметиламинопропиламин находит применение в различных отраслях промышленности. В химическом синтезе он служит строительным блоком для получения катионных поверхностно-активных веществ, используемых в косметике и средствах бытовой химии. В фармацевтике соединение участвует в синтезе лекарственных препаратов. В нефтегазовой отрасли применяется как компонент ингибиторов коррозии и реагент для очистки природного газа от кислых компонентов. Специалисты НПО ЭкоТек разрабатывают эффективные методы синтеза и очистки данного соединения для обеспечения высокой чистоты продукта.



