Стабильные изотопы
Стабильные изотопы
Стабильные изотопы
Стабильные изотопы
Стабильные изотопы
Стабильные изотопы
Стабильные изотопы
Хлорид гадолиния(III) раствор для ЯМР-спектроскопии: 0.1 мг/мл в D2O с DSS
Стабильные изотопы
Стабильные изотопы
Вкладыш для пробирки из фторированного этиленпропилена (FEP)
Стабильные изотопы
Стабильные изотопы
Стабильные изотопы
Стабильные изотопы
Стабильные изотопы
Стабильные изотопы
Колба Пайрекс с отламываемой горловиной 0,5 л для инертной атмосферы
Стабильные изотопы
Стабильные изотопы
Стабильные изотопы
Стабильные изотопы
Стабильные изотопы
Стабильные изотопы
Стабильные изотопы
Стабильные изотопы
Стабильные изотопы
Стабильные изотопы
Стабильные изотопы
Стабильные изотопы
Стабильные изотопы
Стабильные изотопы
Стабильные изотопы
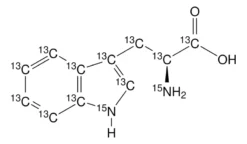
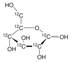
Компания НПО ЭкоТек предлагает высокочистые стабильные изотопы для научных исследований и промышленных применений. Наша продукция включает изотопы водорода (дейтерий), углерода, азота, кислорода и других элементов с гарантированной стабильностью и чистотой. У нас вы найдёте решения для ЯМР-спектроскопии, метаболомики, экологических исследований и фармацевтического анализа. Оптимальные условия хранения и оперативная доставка по РФ обеспечивают сохранность и доступность материалов.

 
				 
				 
				 
				 
				 
				 
				 
				 
				 
				 
				 
				 
				 
				 
				 
				 
				 
				 
				 
				 
				 
				 
				 
				 
				 
				 
				 
				 
				