Описание:
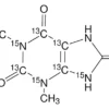
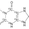
3-Метилуроновая кислота-2,4,5,6-¹³C₄, 1,3,9-¹⁵N₃ — это меченое стабильными изотопами химическое соединение с высокой степенью чистоты (≥98% атомная доля, ≥98% химическая чистота). Данное вещество является изотопологом 3-метилуроновой кислоты, где атомы углерода в положениях 2,4,5,6 заменены на ¹³C, а атомы азота в положениях 1,3,9 — на ¹⁵N. Метилуроновая кислота представляет собой производное пурина и метаболит кофеина. Изотопно-меченые соединения широко применяются в медицинских исследованиях, фармакокинетических исследованиях, изучении метаболических путей, масс-спектрометрии и ЯМР-спектроскопии в качестве внутренних стандартов. Физически это кристаллическое вещество, растворимое в воде и полярных органических растворителях. НПО ЭкоТек поставляет высокочистые меченые соединения для научных и аналитических целей.
Применение:
3-Метилуроновая кислота-2,4,5,6-¹³C₄, 1,3,9-¹⁵N₃ применяется в качестве изотопного стандарта в масс-спектрометрии и ЯМР-спектроскопии для точного количественного анализа метаболитов пурина в биологических образцах. В фармакологии используется для изучения метаболизма кофеина и родственных соединений. В биохимических исследованиях помогает отслеживать метаболические пути и кинетику ферментативных реакций. Также находит применение в разработке диагностических методов и создании меченых фармацевтических препаратов. НПО ЭкоТек обеспечивает исследователей высококачественными мечеными соединениями для решения широкого круга научных задач.



