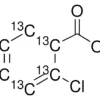
Описание:
4-Броманилин-¹³C₆ — это стабильный изотопно-меченый аналог 4-броманилина, где все шесть атомов углерода заменены на изотоп ¹³C. Это соединение представляет собой твёрдое вещество от белого до светло-жёлтого цвета, хорошо растворимое в органических растворителях, таких как этанол, диэтиловый эфир и хлороформ. Благодаря высокой степени изотопного обогащения (99 атомных % ¹³C), оно служит превосходным стандартом для точных научных исследований. Основные области применения включают спектроскопию ЯМР высокого разрешения, метаболомный анализ, изучение микробных сообществ в экологии и разработку новых материалов. Продукт производится НПО ЭкоТек с соблюдением строгих стандартов чистоты и качества.
Применение:
• Спектроскопия ЯМР высокого разрешения: обеспечивает точную визуализацию структурных особенностей молекул благодаря отсутствию сигналов от ¹²C. • Метаболомный профилирование и анализ путей: используется для количественного отслеживания метаболических потоков в биологических системах. • Стабильно-изотопное зондирование в экологической микробиологии: позволяет изучать активность микробных сообществ в естественных средах. • Исследования и разработка передовых материалов: применяется в создании новых функциональных материалов с контролируемыми свойствами.



