Описание:
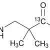
5-Аминолевулиновая кислота-1-¹³C гидрохлорид — это стабильный изотопно-меченый аналог 5-аминолевулиновой кислоты, меченный атомом углерода-13 в положении 1 карбоксильной группы. Соединение имеет химическую формулу H₂NCH₂COCH₂CH₂¹³CO₂H · HCl и CAS-номер 106213-17-6. Обладает высокой изотопной чистотой ≥99 атомных % ¹³C и химической чистотой ≥97% (определено методом КП). Широко применяется в научных исследованиях в качестве трассера в метаболических исследованиях, особенно в изучении биосинтеза гема. Физические свойства: белый или слегка желтоватый кристаллический порошок, растворимый в воде. Хранить в сухом, защищенном от света месте при температуре 2-8°C. Производится НПО ЭкоТек с гарантией качества и стабильности свойств.
Применение:
5-Аминолевулиновая кислота-1-¹³C гидрохлорид применяется в качестве меченого соединения в метаболических исследованиях, особенно для изучения пути биосинтеза гема. Используется в масс-спектрометрии и ЯМР-спектроскопии для отслеживания метаболических путей. Важен в фармакокинетических исследованиях и разработке диагностических методов. Служит стандартом в аналитической химии для количественного определения метаболитов. Продукт поставляется НПО ЭкоТек с соответствующими сертификатами качества.



