Описание:
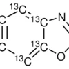
Бромоуксусная кислота-1-¹³C,¹⁸O₂ — стабильноизотопно-меченое соединение с атомной меткой углерода-13 в положении 1 и кислорода-18 в карбоксильной группе. Используется в качестве трассера в биохимических и химических исследованиях. Обладает свойствами типичной галогенкарбоновой кислоты: легко вступает в реакции нуклеофильного замещения. Внешний вид: бесцветные или светло-желтые кристаллы. Растворима в воде, этаноле и диэтиловом эфире. Применение: ЯМР-спектроскопия высокого разрешения, метаболомные исследования, изучение механизмов кислотно-катализируемых реакций, отслеживание микробных процессов в окружающей среде. Поставляется НПО ЭкоТек с высокой степенью изотопной чистоты: 99 ат.% для ¹³C и 95 ат.% для ¹⁸O. Химическая чистота: 97% (CP). Формула: Br¹³CH₂C¹⁸O¹⁸OH. CAS: 1218765-25-3.
Применение:
Бромоуксусная кислота-1-¹³C,¹⁸O₂ применяется в следующих областях: 1) Высокочувствительная ЯМР-спектроскопия для изучения структуры молекул; 2) Метаболомный профилинг и анализ биохимических путей; 3) Методы стабильных изотопов в экологической микробиологии (SIP) для отслеживания микробного метаболизма; 4) Исследование механизмов кислотно-катализируемых реакций благодаря изотопным меткам. Продукт производства НПО ЭкоТек обеспечивает точность в экспериментах благодаря высокой изотопной чистоте: 99 ат.% ¹³C, 95 ат.% ¹⁸O. Химическая чистота 97% (CP) гарантирует воспроизводимость результатов.



