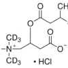
Описание:
Бутирил-L-карнитин-(N-метил-d3) гидрохлорид — это дейтерированный аналог бутирил-L-карнитина, где три атома водорода в N-метильной группе заменены на дейтерий. Вещество с химической формулой C₁₁H₁₈D₃ClNO₄ характеризуется чистотой 98% (CP) и содержанием дейтерия 99 атомных %. Продукт производства НПО ЭкоТек соответствует высочайшим стандартам качества. Применяется в биохимических исследованиях в качестве внутреннего стандарта в масс-спектрометрии, метаболомных исследованиях и изучении метаболизма жирных кислот. Физические свойства включают кристаллическую структуру, растворимость в воде и полярных органических растворителях. Интересный факт: дейтерированные соединения позволяют отслеживать метаболические пути без вмешательства в биохимические процессы.
Применение:
Бутирил-L-карнитин-(N-метил-d3) гидрохлорид находит применение в научных исследованиях, особенно в области метаболомики и масс-спектрометрии. Используется как внутренний стандарт для количественного анализа карнитиновых эфиров в биологических образцах, что обеспечивает высокую точность измерений благодаря минимальному изотопному эффекту. Также применяется в исследованиях метаболизма жирных кислот, митохондриальных функций и нарушений окисления липидов. Продукт производства НПО ЭкоТек гарантирует воспроизводимость результатов в клинической диагностике и фармакокинетических исследованиях. Важно: соблюдайте условия хранения в сухом, защищённом от света месте при температуре -20°C.



