Описание:
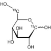
D-Глюкоза-6-¹³C — это стабильный изотопно-меченный аналог глюкозы, в котором атом углерода в положении 6 замещён на изотоп ¹³C. Соединение высокой химической чистоты (99 атом % ¹³C) и соответствует стандарту «endotoxin tested». Применяется в метаболических исследованиях, включая анализ метаболических потоков (MFA), изучение путей катаболизма глюкозы методом ЯМР-спектроскопии и исследованиях диабета. Физические свойства идентичны обычной D-глюкозе: белый кристаллический порошок, хорошо растворимый в воде. НПО ЭкоТек гарантирует высочайшее качество продукта для точных научных экспериментов.
Применение:
— Анализ метаболических потоков в клеточных системах- Исследования путей метаболизма глюкозы методом ЯМР-спектроскопии- Изучение диабета и метаболических нарушений- Исследования метаболизма глюкозы при диабете. Продукт производства НПО ЭкоТек незаменим в биомедицинских исследованиях, позволяя отслеживать судьбу отдельных атомов углерода в метаболических путях. Особенно востребован в исследованиях гликолиза, пентозофосфатного пути и гликогенеза.



