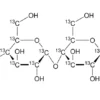
Описание:
D-Лактоза-1-13C моногидрат — это изотопно меченное соединение, в котором углерод в положении 1 молекулы лактозы замещён на стабильный изотоп углерод-13 (99 ат.%). Моногидратная форма обеспечивает стабильность соединения. Лактоза является дисахаридом, состоящим из остатков глюкозы и галактозы, и широко используется в фармацевтической промышленности в качестве наполнителя таблеток, в пищевой промышленности как подсластитель, а также в исследовательских целях. Данный меченный изотопом углерода-13 препарат незаменим для исследований методом ЯМР-спектроскопии и масс-спектрометрии, позволяя отслеживать метаболические пути в биологических системах без радиоактивного излучения. Благодаря высокой степени чистоты (99 ат.% 13C) обеспечивает точность научных экспериментов.
Применение:
D-Лактоза-1-13C моногидрат применяется в научных исследованиях как меченный изотопом углерода-13 трейсер для изучения метаболических процессов. Используется в фармакокинетических исследованиях, при разработке новых лекарственных форм, в аналитической химии для калибровки оборудования и в качестве внутреннего стандарта в масс-спектрометрии. В пищевой промышленности может служить для отслеживания метаболизма лактозы в организме человека. Также применяется в исследованиях усвояемости молочных продуктов и при изучении механизмов действия ферментов.



