Описание:
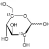
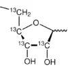
D-Маннитол-13C6 — это изотопно меченое соединение, где все шесть атомов углерода заменены на стабильный изотоп углерод-13 (99 атомных %). Это белый кристаллический порошок с химической формулой HO¹³CH₂[¹³CH(OH)]₄¹³CH₂OH, используемый в качестве индикатора в метаболических исследованиях. Вещество соответствует степени чистоты 99% (CP). Физические свойства аналогичны немеченому маннитолу: хорошо растворим в воде, гигроскопичен, температура плавления около 166 °C. НПО ЭкоТек обеспечивает высокое качество продукта для научных и медицинских применений.
Применение:
D-Маннитол-13C6 применяется как трассер в исследованиях метаболизма человека и животных, особенно при изучении всасывания углеводов в кишечнике. Используется в клинической диагностике для неинвазивных дыхательных тестов на мальабсорбцию. В фармацевтике — как наполнитель для таблеток и ингредиент инфузионных растворов с возможностью отслеживания методом ЯМР или масс-спектрометрии. Также востребован в ядерно-магнитном резонансе (ЯМР) в качестве стандарта. НПО ЭкоТек рекомендует строгое соблюдение протоколов при работе с изотопными метками.



