Описание:
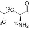
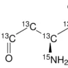
Глицин-13C2,15N этиловый эфир гидрохлорид — это стабильно меченный изотопами 13C и 15N этиловый эфир аминокислоты глицина в виде гидрохлоридной соли. Содержит два атома углерода-13 и один атом азота-15, что обеспечивает высокую чувствительность при использовании в методах ядерного магнитного резонанса (ЯМР) и масс-спектрометрии. Продукт имеет изотопную чистоту 98 атомных % по 15N и 99 атомных % по 13C. Отличается высокой химической чистотой и стабильностью, что делает его незаменимым в исследованиях метаболических путей и кинетики ферментативных реакций. Внешний вид — белый кристаллический порошок, хорошо растворимый в воде и полярных органических растворителях. Продукт производится НПО ЭкоТек с соблюдением строгих стандартов качества.
Применение:
Глицин-13C2,15N этиловый эфир гидрохлорид широко применяется в биохимических исследованиях в качестве меченого стандарта. Основные области использования: 1) Исследование метаболизма аминокислот с помощью масс-спектрометрии и ЯМР-спектроскопии; 2) Изучение механизмов ферментативных реакций; 3) Трассировка биосинтетических путей в клетках и тканях; 4) Количественный анализ глицина и его производных в биологических образцах методом изотопного разведения. Продукт также востребован в фармакокинетике для отслеживания лекарственных препаратов на основе глицина. Благодаря высокой изотопной чистоте, обеспечивает точные и воспроизводимые результаты. НПО ЭкоТек гарантирует соответствие продукта требованиям современных исследовательских лабораторий.



