Описание:
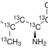
Глутамин-1,2-¹³C₂ (L-изомер) — это стабильно меченный изотопом углерода-13 аминокислотный субстрат с химической формулой H₂NCO(CH₂)₂¹³CH(NH₂)¹³CO₂H и обогащением ≥98 атомных %. Вещество представляет собой белый кристаллический порошок, хорошо растворимый в воде. Как ключевой метаболит в азотистом обмене, меченный глутамин играет важную роль в исследованиях метаболических путей с помощью ЯМР-спектроскопии высокого разрешения и масс-спектрометрии. Его стабильная изотопная метка позволяет отслеживать биохимические превращения в живых системах без радиоактивного излучения. Продукт производится НПО ЭкоТек с гарантией химической и изотопной чистоты для научных экспериментов.
Применение:
— Высокоразрешающая ЯМР-спектроскопия для изучения метаболических процессов
— Метаболомный профилинг и анализ биохимических путей
— Метод стабильных изотопов в экологической микробиологии (SIP)
— Калибровка масс-спектрометров для количественного анализа
— Трассировка метаболических потоков в клеточных культурах и тканях
— Исследования кинетики ферментативных реакций с изотопными метками



