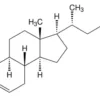
Описание:
Холестерол-2,2,3,4,4,6-d6 (C₂₇H₄₀D₆O) — это стабильный изотопно-меченый аналог холестерола, где шесть атомов водорода заменены на дейтерий (D) в позициях 2,2,3,4,4,6 молекулы. Обладает высокой химической чистотой (>98%) и обогащением дейтерием до 97 атомных процентов. Основные физические свойства соответствуют обычному холестеролу: белое кристаллическое вещество, нерастворимое в воде, но растворимое в органических растворителях (хлороформ, эфир). Используется как внутренний стандарт в масс-спектрометрии для точного количественного анализа липидов и стероидов в биологических образцах. Производится НПО ЭкоТек с гарантией качества и стабильности характеристик.
Применение:
Холестерол-2,2,3,4,4,6-d6 применяется преимущественно в аналитической химии как стандарт для масс-спектрометрических (MS) исследований метаболизма липидов. Позволяет проводить точные измерения концентрации холестерола в плазме крови, тканях и клеточных культурах без интерференции матрицы. Используется в фармакокинетических исследованиях для отслеживания абсорбции и распределения стероидных соединений. Также востребован в производстве меченых фармацевтических препаратов и в биохимических экспериментах по изучению мембранных процессов. НПО ЭкоТек обеспечивает строгий контроль изотопной чистоты продукта для воспроизводимости научных данных.



