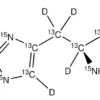
Описание:
L-Аспарагин-¹³C₄,¹⁵N₂,2,3,3-d₃ — это стабильно изотопно меченная аминокислота с высоким уровнем обогащения: 99% по ¹³C, 98% по ¹⁵N и 98% по дейтерию (D). Чистота вещества составляет 95% (химически чистое). Используется как внутренний стандарт в масс-спектрометрии и ЯМР-спектроскопии, обеспечивая точную количественную оценку метаболитов в биологических образцах. Физические свойства: белый кристаллический порошок, растворимый в воде. Продукт производится НПО ЭкоТек с соблюдением строгих стандартов качества для научных исследований.
Применение:
— Высокоразрешающая ЯМР-спектроскопия для изучения структуры белков и метаболитов
— Метаболомный профилинг и анализ биохимических путей в клетках
— Стабильно-изотопное зондирование (SIP) в экологической микробиологии для отслеживания метаболических потоков
— Референсные стандарты для контроля качества в фармацевтике и клинической диагностике
— Исследования кинетики ферментов и метаболической инженерии



