Описание:
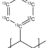
L-Фенилаланин-(фенил-3,5-¹³C₂,2,4,6-d₃) — стабильно изотопно меченое соединение, применяемое в научных исследованиях. Продукт содержит атомы дейтерия (d) и углерода-13 (¹³C) в специфических позициях фенильного кольца, что обеспечивает высокую степень изотопной чистоты: ≥95% атомов ¹³C в позициях 3 и 5 фенильного кольца, ≥90% атомов дейтерия в позиции 4 и ≥70% в позициях 2 и 6. Чистота по химическому составу (CP) составляет не менее 90%. Физически представляет собой белый кристаллический порошок, растворимый в воде. Используется в метаболических исследованиях, фармакокинетике, ЯМР-спектроскопии и масс-спектрометрии для отслеживания путей биосинтеза и распада аминокислот. Изотопная метка позволяет проводить точные количественные анализы без вмешательства в биохимические процессы. НПО ЭкоТек гарантирует строгий контроль качества.
Применение:
L-Фенилаланин-(фенил-3,5-¹³C₂,2,4,6-d₃) находит применение в биохимических и медицинских исследованиях. Основные области: 1. Исследование метаболизма аминокислот — отслеживание путей превращения фенилаланина в тирозин и другие метаболиты при помощи масс-спектрометрии. 2. Фармакокинетические исследования — изучение абсорбции, распределения и выведения меченых фармацевтических препаратов. 3. ЯМР-спектроскопия — использование в качестве стандарта для калибровки и проведения экспериментов по ядерному магнитному резонансу благодаря четким сигналам дейтерия и ¹³C. 4. Медицинская диагностика — применение в тестах на фенилкетонурию и других нарушениях метаболизма. 5. Разработка лекарств — создание меченых аналогов препаратов для доклинических испытаний. Продукт поставляется НПО ЭкоТек с сертификатом анализа, подтверждающим изотопную и химическую чистоту.



