Описание:
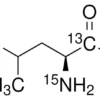
L-Лейцин-1-¹³C — это стабильный изотопно-меченый аминокислотный стандарт, где углерод в карбоксильной группе замещен на изотоп ¹³C. Продукт характеризуется чистотой 99 атомных % ¹³C и проходит контроль на отсутствие эндотоксинов, что делает его идеальным для биохимических и медицинских исследований. L-Лейцин играет ключевую роль в синтезе белка, регуляции метаболизма и восстановлении мышечных тканей. Изотопная метка позволяет точно отслеживать метаболические пути и кинетику биологических процессов с помощью методов спектроскопии ЯМР и масс-спектрометрии. Широко используется в исследованиях метаболизма, микробиологии окружающей среды и создании эталонов для контроля качества.
Применение:
— Высокочувствительная спектроскопия ЯМР высокого разрешения для изучения молекулярной структуры и динамики- Метаболическое профилирование и анализ биохимических путей в клеточных системах- Экологическая микробиология: отслеживание метаболической активности микроорганизмов методом стабильных изотопных зондов (SIP)- Эталонный стандарт высшего качества для калибровки приборов и валидации методик в аналитических лабораториях



