Описание:
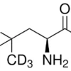
L-Лейцин-4-d₁ — это стабильно меченное дейтерием производное незаменимой аминокислоты L-лейцина, где атом водорода в положении 4 замещён на атом дейтерия (D). Соединение имеет изотопную чистоту 99 ат.% D и молекулярную формулу (CH₃)₂CDCH₂CH(NH₂)CO₂H. Это белый кристаллический порошок, хорошо растворимый в воде и слабых кислотах. Благодаря стабильности дейтериевой метки, оно идеально подходит для исследований методом ЯМР и масс-спектрометрии, позволяя отслеживать метаболические пути без радиоактивного распада.
Применение:
— Химический синтез меченых соединений для фармакокинетических исследований
— Разработка фармацевтических формуляций с изотопными маркерами для контроля качества
— Эталонные стандарты в аналитической химии для калибровки приборов
— Применение в экологическом мониторинге для отслеживания биодеградации и биодоступности веществ
— Метаболические исследования в биохимии и медицине с использованием изотопных меток
— Синтез пептидов с дейтерированными аминокислотами для изучения белковых структур



