Описание:
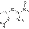
L-Тирозин-¹³C₉,¹⁵N — высокообогащённый стабильными изотопами аминокислотный стандарт для масс-спектрометрии и исследований белкового метаболизма. Содержит девять атомов углерода-13 и один атом азота-15, с химической чистотой ≥95%. Используется в методе SILAC (метаболическое мечение стабильными изотопами аминокислот в культуре клеток) для количественной протеомики. Продукт поставляется в виде белого кристаллического порошка, хорошо растворимого в воде. НПО ЭкоТек гарантирует изотопную чистоту: 98 ат.% по ¹³C и 98 ат.% по ¹⁵N. Применяется в фармакокинетике, исследованиях метаболических путей и диагностике наследственных заболеваний.
Применение:
L-Тирозин-¹³C₉,¹⁵N применяется как внутренний стандарт в ЖХ-МС/МС анализе для точного количественного определения тирозина в биологических образцах. Ключевое применение — мечение белков в исследованиях протеомного профилирования методом SILAC, что позволяет сравнивать уровни экспрессии белков в разных клеточных состояниях. Также используется в исследованиях метаболизма нейромедиаторов, синтеза гормонов щитовидной железы и меланина. НПО ЭкоТек рекомендует данный стандарт для: 1) изучения кинетики аминокислот in vivo, 2) разработки диагностических тестов на фенилкетонурию, 3) мониторинга эффективности терапии онкологических заболеваний.



