Описание:
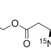
L-Треонин-¹⁵N представляет собой стабильный изотопно-меченный аналог аминокислоты L-треонина, в котором атом азота-14 заменён на азот-15 (¹⁵N). Содержание изотопа ¹⁵N составляет 98 атомных процентов. Вещество имеет химическую чистоту (CP) не менее 98%. Молекулярная формула: CH₃CH(OH)CH(¹⁵NH₂)CO₂H. Это белый кристаллический порошок, хорошо растворимый в воде. Используется в метаболических исследованиях, масс-спектрометрии и ядерном магнитном резонансе (ЯМР) для изучения биологических процессов. Является важным инструментом в биохимии, молекулярной биологии и медицинской диагностике.
Применение:
L-Треонин-¹⁵N широко применяется в научных исследованиях как изотопная метка. В метаболомике и протеомике он служит для отслеживания путей метаболизма аминокислот и синтеза белков. В ЯМР-спектроскопии соединение используется благодаря отсутствию сигналов от ядер ¹⁴N, что упрощает интерпретацию спектров. В клинических исследованиях помогает изучать нарушения метаболизма. Продукт производится НПО ЭкоТек с гарантией высокой изотопной чистоты и химической стабильности. Подходит для создания меченых пептидов и белков в биотехнологии.



