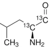
Описание:
L-Валин-2-13C — это стабильный изотопно-меченый аминокислотный аналог природной аминокислоты L-валина, где атом углерода в положении 2 замещен на стабильный изотоп углерод-13 (13C). Это соединение имеет химическую формулу (CH3)2CH13CH(NH2)CO2H и степень обогащения 99 атомных процентов 13C. Его химическая чистота составляет не менее 99%. Изотопное мечение позволяет использовать его в качестве внутреннего стандарта в масс-спектрометрии и ЯМР-спектроскопии, а также для изучения метаболических путей в биохимических и медицинских исследованиях. Физически представляет собой белый кристаллический порошок, растворимый в воде и полярных органических растворителях. НПО ЭкоТек гарантирует высочайшее качество и чистоту продукта для точных научных экспериментов.
Применение:
L-Валин-2-13C применяется в качестве изотопной метки в научных исследованиях. Основные области использования включают: 1) Метаболомику и протеомику — для отслеживания путей биосинтеза и деградации аминокислот; 2) Фармакокинетику — изучение всасывания, распределения и метаболизма лекарственных средств; 3) ЯМР-спектроскопию — в качестве стандарта для калибровки и количественного анализа; 4) Медицинскую диагностику — в тестах дыхания для выявления нарушений метаболизма. Продукт также востребован в производстве меченых пептидов и белков. Благодаря высокой степени обогащения (99 ат. % 13C) и химической чистоте (99%), L-Валин-2-13C от НПО ЭкоТек обеспечивает воспроизводимость и точность результатов в чувствительных экспериментах.



