Описание:
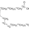
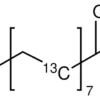
Пальмитат калия-1,2,3,4-¹³C₄ — это изотопно меченое соединение, где атомы углерода в позициях 1,2,3,4 замещены на стабильный изотоп углерод-13. Обогащение составляет 99 атомных процентов. Данное вещество представляет собой соль пальмитиновой кислоты и калия. Используется преимущественно в научных исследованиях как трассер в метаболических исследованиях, в масс-спектрометрии и в качестве внутреннего стандарта для количественного анализа. НПО ЭкоТек поставляет высокочистые реактивы для научных целей.
Применение:
Только для исследовательских целей. Не для медицинского, бытового или иного применения. Любое иное использование осуществляется под исключительную ответственность конечного пользователя. Тестирование на эндотоксины проводится для основной массы продукта перед фасовкой. Данное тестирование не гарантирует отсутствие эндотоксинов в отдельных упаковках после перефасовки и не подразумевает пригодность для конкретных целей. Если продукт должен быть свободен от эндотоксинов для вашего применения, необходимо провести тестирование перед непосредственным использованием. Применяется в биомедицинских исследованиях, исследованиях метаболизма жирных кислот, фармакокинетических исследованиях и в качестве стандарта в аналитической химии. НПО ЭкоТек обеспечивает высокое качество реактивов для научных задач.



