Описание:
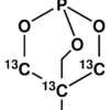
Рибофлавин-5′-фосфат (флавинмононуклеотид, FMN) — кофермент, впервые выделенный Теореллем. Участвует в окислении глюкозо-6-фосфата и может быть синтезирован фосфорилированием рибофлавина хлорангидридом фосфорной кислоты. Рибофлавин-(диоксопиримидин-¹³C₄,¹⁵N₂) 5′-фосфат представляет собой изотопно меченный аналог, в котором все атомы углерода и азота в диоксопиримидиновом кольце заменены на стабильные изотопы ¹³C и ¹⁵N соответственно. Это кристаллическое вещество желто-оранжевого цвета, растворимое в воде, устойчивое в нейтральной среде, но чувствительное к свету. Используется НПО ЭкоТек в биохимических исследованиях для изучения механизмов ферментативных реакций с участием флавопротеинов.
Применение:
Рибофлавин-(диоксопиримидин-¹³C₄,¹⁵N₂) 5′-фосфат применяется как внутренний стандарт со стабильными изотопами для точной количественной оценки методом масс-спектрометрии в исследованиях метаболизма витамина B₂, анализа биологических жидкостей и тканей. Продукт НПО ЭкоТек незаменим при изучении кинетики ферментативных процессов, транспорта рибофлавина и диагностики гиповитаминозов.



