Биохимические реактивы
Биохимические реактивы
Биохимические реактивы
Биохимические реактивы
Биохимические реактивы
Биохимические реактивы
Антибиотики
Биохимические реактивы
Биологические буферы
Антибиотики
Биохимические реактивы
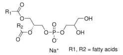
Фосфатидилглицерин натриевая соль из лецитина яичного желтка
Химическая биология
Биохимические реактивы
Буфер PIPES Сухой Чистый ≥99% для Клеточных Культур и Апоптоза
Биохимические реактивы
Биологические буферы
Биохимические реактивы
Аминокислоты
Биохимические реактивы
Тринатриевая соль 6-Фосфоглюконовой кислоты, ≥97%, ферментативная
Биохимические реактивы
Биохимические реактивы
Аминокислоты
Биохимические реактивы
Антибиотики
Биохимические реактивы
Биохимические реактивы
Биохимические реактивы
Антибиотики
Биохимические реактивы
Биохимические реактивы
6-Фосфоглюконовая кислота тринатриевая (≥95%, для пентозофосфатного пути)
