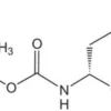
Описание:
Стандартный строительный блок для введения остатков аминокислоты D-лейцина методом твердофазного синтеза пептидов (SPPS) с использованием защитной группы Бок (Boc). Гидратированная форма обеспечивает стабильность и удобство хранения. Вещество представляет собой белый кристаллический порошок, растворимый в органических растворителях. Применяется в органическом синтезе пептидов и белков, а также в фармацевтических исследованиях для создания инновационных лекарственных препаратов. НПО ЭкоТек гарантирует высокую чистоту и соответствие международным стандартам качества.
Применение:
Основное применение – введение D-лейциновых остатков в пептидные цепи при твердофазном синтезе пептидов (SPPS) с Boc-стратегией защиты. Используется в фармацевтической химии для создания пептидных лекарственных средств, в биотехнологических исследованиях и при разработке диагностических систем. Вещество совместимо со стандартными протоколами снятия защиты Boc и очистки пептидов. НПО ЭкоТек рекомендует строгое соблюдение условий хранения: сухое прохладное место, защищённое от света.



