Описание:
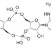
Циклический диаденозинмонофосфат натрия (c-di-AMP) — это циклический динуклеотид, выступающий в качестве вторичного мессенджера в бактериальных клетках. Вещество представляет собой натриевую соль циклического диаденозинмонофосфата с химической формулой C₂₀H₂₃N₁₀O₁₂P₂·xNa и CAS-номером 54447-84-6. Продукт соответствует степени чистоты ≥98% по данным ВЭЖХ. Физически это белый или почти белый кристаллический порошок, хорошо растворимый в воде и буферных растворах. Интересный факт: c-di-AMP играет ключевую роль в регуляции осмотического давления и клеточной стенки бактерий, что делает его мишенью для разработки новых антибиотиков.
Применение:
Циклический диаденозинмонофосфат натрия широко используется в биохимических и микробиологических исследованиях для изучения сигнальных путей бактерий. Применяется как референсный стандарт в аналитической химии, в разработке диагностических систем для выявления бактериальных инфекций, а также в фармакологических исследованиях при поиске ингибиторов бактериальной коммуникации. НПО ЭкоТек поставляет высокочистый c-di-AMP для научных и промышленных нужд, гарантируя стабильность и воспроизводимость результатов экспериментов.



