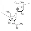
Ундецил β-D-мальтозид

25 972,00 

Ундецил β-D-мальтозид ≥99.0% (ТСХ) для биохимии. Солюбилизация мембранных белков без денатурации. Доставка по РФ. Заменитель Sigma Aldrich.

Количество