Описание:
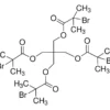
Этиленбис(2-бромоизобутират) — это органическое соединение, используемое в качестве ключевого инициатора в атомно-передаточной радикальной полимеризации (ATRP). Оно представляет собой сложный эфир с двумя функциональными группами 2-бромоизобутирата, соединенными этиленовым мостиком. Вещество проявляет высокую реакционную способность, обеспечивая контролируемый синтез полимеров с заданной архитектурой. Физически это обычно кристаллическое твердое вещество белого или светло-желтого цвета, чувствительное к влаге и свету, требующее хранения в инертной атмосфере. Применяется для создания функциональных полимеров, включая гидрогели, нанокомпозиты и поверхности с модифицированными свойствами. Интересный факт: ATRP позволяет получать материалы с низкой полидисперсностью, что критично для биомедицинских и электронных приложений. НПО ЭкоТек обеспечивает поставки высокочистого реактива для научных и промышленных нужд.
Применение:
ATRP для всех: лиганды и инициаторы для чистого синтеза функциональных полимеров



