Биомедицинские материалы
Биомедицинские материалы
Биомедицинские материалы
Биомедицинские материалы
Монометиловый эфир пентаэтиленгликоля с концевой тиольной группой (mPEG5-SH)
Биомедицинские материалы
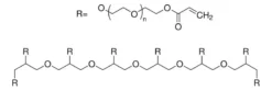
Акрилат метоксиполиэтиленгликоля с молекулярной массой 350 г/моль (mPEG7-акрилат)
Биомедицинские материалы
Биомедицинские материалы
Биомедицинские материалы
Биомедицинские материалы
Биомедицинские материалы
Биомедицинские материалы
Химическая биология
Биомедицинские материалы
Биомедицинские материалы
Биомедицинские материалы
Биомедицинские материалы
Биомедицинские материалы
Биомедицинские материалы
Биомедицинские материалы
Биомедицинские материалы
Биомедицинские материалы
Биомедицинские материалы
Биомедицинские материалы
Биомедицинские материалы
Биомедицинские материалы
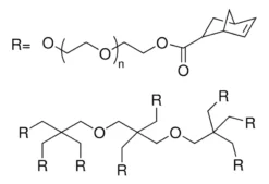
Восьмирукавный ПЭГ-норборнен на основе трипентаэритрита, 20 кДа
Биомедицинские материалы
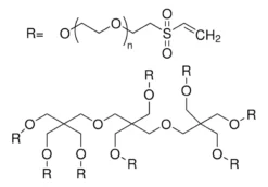
Восьмилучевой полиэтиленгликоль-20 000 с винилсульфоновыми группами на основе трипентаэритритола
Биомедицинские материалы
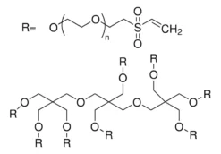
8-лучевой ПЭГ-винилсульфон с ядром трипентаэритрита (мол. масса 10 000)
Биомедицинские материалы
Биомедицинские материалы
Биомедицинские материалы
