Специальные и умные полимеры
Углеродные наноматериалы
Электронные материалы
Материалы для печатной электроники
Материалы для печатной электроники
Углеродные наноматериалы
Электронные материалы
Материалы для OLED и PLED
Материалы для OLED и PLED
Электронные материалы
Электронные материалы
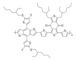
Поли(3,3′′′-дидодецил[2,2′:5′,2′′:5′′,2′′′-кватертиофен]-5,5′′′-диил)
Электронные материалы
Материалы для OLED и PLED
9-(2-Этилгексил)-N,N,N,N-тетракис(4-метоксифенил)-9H-карбазол-2,7-диамин
Электронные материалы
Электронные материалы
Электронные материалы
Электронные материалы
Электронные материалы
Электронные материалы
Материалы для OLED и PLED
Электронные материалы
Электронные материалы
Наносферы золота Cy3/метиловые 15 нм порошок для биовизуализации и катализа
Электронные материалы
Наносферы золота 100 нм FITC/амино порошок для биосенсоринга и терапии
Материалы для OLED и PLED
Электронные материалы
Диоксид кремния: монодисперсные частицы 2 мкм для ВЭЖХ и наномедицины
Электронные материалы
Диоксид кремния SiO₂ монодисперсный 1мкм для ВЭЖХ и наномедицины
Электронные материалы
Электронные материалы
Диоксид кремния монодисперсный 150нм-50мкм для хроматографии и оптики
Электронные материалы
Электронные материалы
Диоксид кремния SiO₂ монодисперсный 150нм-50мкм для доставки лекарств
