Электронные материалы
Электронные материалы
Электронные материалы
Углеродные наноматериалы
Углеродные нанотрубки ОСНТ >70% для электроники и композитов
Углеродные наноматериалы
Электронные материалы
Электронные материалы
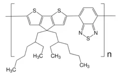
Поли[2,7-(9,9-диоктилфлуорен)-альт-4,7-бис(тиофен-2-ил)бензо-2,1,3-тиадиазол] (PFO-DBT)
Электронные материалы
Электронные материалы
Поли[2,5-бис(3-тетрадецилтиофен-2-ил)тиено[3,2-b]тиофен] (PBTTT-C14)
Электронные материалы
Поли[2,5-бис(3-додецилтиофен-2-ил)тиено[3,2-b]тиофен] (PBTTT-C12)
Электронные химикаты и травители
Электронные материалы
Углеродные наноматериалы
Углеродные наноматериалы
Углеродная нанотрубка одностенная EcoTek: 98% чистоты, 1.2-1.7нм
Углеродные наноматериалы
Углеродная нанотрубка одностенная HiPure: <3.5% катализатора
Электронные материалы
Электронные материалы
Электронные материалы
Фотонные и оптические материалы
Дифтор{2-[(3,5-диметил-2H-пиррол-2-илиден-N)метил]-3,5-диметил-1H-пирролато-N}бор
Электронные материалы
Реагент для формирования SAM биотинилированного монослоя на золоте
Электронные материалы
Реагент для формирования SAM с карбоксильными группами на золоте
Фотонные и оптические материалы
Электронные материалы
Электронные материалы
Электронные материалы
Электронные материалы
Электронные материалы
Электронные материалы
Электронные материалы
Электронные материалы
