Электронные материалы
Электронные материалы
Электронные материалы
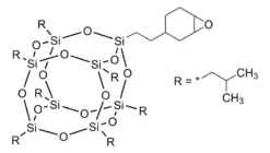
Полистиролсульфонат с окта[(3-глицидилоксипропил)диметилсилокси] заместителем
Электронные материалы
Фотонные и оптические материалы
Жидкие кристаллы
Электронные материалы
Электронные материалы
Электронные материалы
Никелевый нанопорошок ЭкоТек <100 нм 99% (катализ, электроника)
Электронные материалы
Электронные материалы
Наночастицы серебра <100 нм ПВП-стаб. 99.5% (медицина, катализ)
Электронные материалы
Жидкие кристаллы
Электронные материалы
Полианилин изумрудный (основание) для сенсоров и суперконденсаторов
Углеродные наноматериалы
Углеродные наноматериалы
Фотонные и оптические материалы
Фотонные и оптические материалы
Электронные материалы
Электронные материалы
Полианилин (соль изумрудного основания) короткоцепочечный, привитый к лигнину
Электронные материалы
Электронные материалы
Электронные материалы
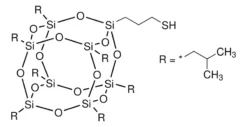
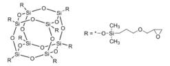
Гептаизобутил(3-меркаптопропил)замещенный полиэдральный олигомерный силсесквиоксан (ПОСС)
Электронные материалы
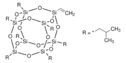
Винил-гептаизобутилзамещенный полиэдральный олигомерный силсесквиоксан
Электронные материалы
Электронные материалы
Электронные материалы
Электронные материалы
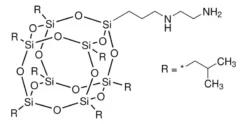
Полиэдральный олигомерный силсесквиоксан с заместителями: гептаизобутил и 3-(2-аминоэтиламино)пропил
Электронные материалы
