Описание:
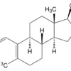
16-α-гидроксиэстрон-2,3,4-¹³C₃ — это стабильный изотопно меченный аналог эстрона, маркированный тремя атомами углерода-13 в положениях 2, 3 и 4. Соединение имеет химическую формулу C₁₈H₂₂O₃ (с заменой трёх атомов ¹²C на ¹³C). Массовая доля изотопа ¹³C составляет не менее 99%, химическая чистота — 98% (по данным хроматографии). Используется в качестве внутреннего стандарта в масс-спектрометрии и других аналитических методах для количественного определения эстрогенов в биологических образцах. Хранить при температуре -20°C в защищённом от света месте.
Применение:
16-α-гидроксиэстрон-2,3,4-¹³C₃ применяется в научных исследованиях для изучения метаболизма эстрогенов. Основное применение — масс-спектрометрический анализ (LC-MS/MS, GC-MS) при определении концентраций эстрогенов в плазме крови, моче и тканях. Служит эталоном при разработке методов диагностики эндокринных нарушений, онкологических заболеваний (включая рак молочной железы) и оценке экзогенного гормонального воздействия. НПО ЭкоТек рекомендует использовать продукт в соответствии с протоколами валидации аналитических методик.



